Специалисты Красноярского филиала ГНЦ РФ ФГБНУ «ВНИРО» дали оценку рыбы и рыбной продукции одного из крупных притоков Енисея – реки Кас. Учёные оценили структурно-биологические параметры промысловых видов рыб, а также состав их паразитофауны.
Cнизить пресс на запасы ценных видов рыб могут не только ограничения на добычу, но и частичное смещение промысла из магистральной части Енисея в его притоки.
Поэтому проведение ресурсных исследований на крупных притоках реки Енисей, ранее неиспользуемых промыслом, важно для рационального использования водных биоресурсов и развития региона. Особое значение в таких исследованиях имеет оценка безопасности рыбной продукции для потребителя.
Одним из перспективных водных объектов для осуществления промышленного рыболовства является река Кас, до настоящего времени практически неизученная в рыбохозяйственном отношении. Важно отметить, что р. Кас также является частью Обь-Енисейского водного пути, обеспечивающего транзит между бассейнами двух крупнейших речных систем Сибири – Оби и Енисея. Известно, что р. Обь с притоками является крупнейшим очагом описторхоза в мире.
В связи с этим, специалисты Красноярского филиала решили оценить структурно-биологические параметры промысловых видов рыб реки Кас, а также состав их паразитофауны.
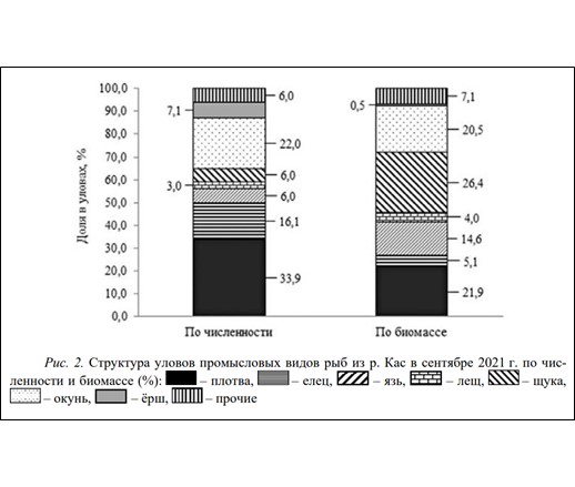
Согласно результатам исследований, промысловая ихтиофауна реки характеризуется преобладанием карповых видов рыб, а также окуня и щуки. У исследованных рыб не отмечены возбудители опасных для человека заболеваний, включая описторхоз. Возможно, брюхоногие моллюски битинииды (первые промежуточные хозяева описторхид) не проникли через сооружения канала из обской части в приток Енисея либо условия среды обитания в бассейне Енисея оказались для них неблагоприятными.
Проведение дополнительных комплексных ихтиологических, гидробиологических и паразитологических работ позволят дать точную оценку безопасности рыбы и рыбной продукции для человека.
Подробнее ознакомиться с результатами работы можно в научной статье по ссылке https://izvestiabio.isu.ru/en/article/file?id=729.
